
Validity (4 types)
Let’s talk about construct validity and measuring what we want to measure.
Once a concept has been clarified, the next step is to measure it. Usually, we find that our concept is a…
According to Curran and Hancock, what is a latent variable?
What are some examples of latent variables in the podcast?
Definitions of latent variables:
Informal
Formal
Sample realization definition: A latent random (or nonrandom) variable is a random (or nonrandom) variable for which there is no sample realization for at least some observations in a given sample.

If latent variables are unobserved, how do we study them?
The challenge of psychometrics is assign numbers to observations in a way that best summarizes the underlying constructs (Revelle, 2009)
How do we create this in our dataset (practically speaking)?
With the people around you, come up with one latent variables that you might be interested in and describe how you would measure them.
What questions should we ask ourselves as we construct latent variables?
What else does our measure capture?
(If multiple items) are all items weighted equally?
(If multiple items) are items causal indicators or effect indicators?
Is our latent variable a posteriori and a priori?
Latent variables live at the level of theory.
Your theory is about success/happiness/arousal/memory/etc, not about the measure (items or operationalizations).
Does your theory specify how the latent variable is associated with your measure?
Do you need theory for good statistics or empirical work?
Machine learning models
Network models (not social)
Borsboom (2006) argues that good measurement practices – specifically, testing that measures capture latent variable – has been ignored in psychology.


From Greenwald, McGhee, & Schwartz (1998)

From Greenwald, McGhee, & Schwartz (1998)
Where do the numbers come from?
What assumptions do our statistics make about where the numbers come from?
A few examples from Revelle (2009)
Consider the problem of a department chairman who wants to recruit faculty by emphasizing the smallness of class size but also report to a dean how effective the department is at meeting its teaching requirements. What is the typical class size?
| Faculty Member | Freshman/ Sophmore | Junior | Senior | Graduate | Mean | Median |
|---|---|---|---|---|---|---|
| A | 20 | 10 | 10 | 10 | 12.5 | 10 |
| B | 20 | 10 | 10 | 10 | 12.5 | 10 |
| C | 20 | 10 | 10 | 10 | 12.5 | 10 |
| D | 20 | 100 | 10 | 10 | 35.0 | 15 |
| E | 200 | 100 | 400 | 10 | 177.5 | 150 |
| Total | ||||||
| Mean | 56 | 46 | 110 | 10 | 50.0 | 39 |
| Median | 20 | 10 | 10 | 10 | 12.5 | 10 |
What about from the students’ perspective?
| Class size | Number of classes | Number of students |
|---|---|---|
| 10 | 12 | 120 |
| 20 | 4 | 80 |
| 100 | 2 | 200 |
| 200 | 1 | 200 |
| 400 | 1 | 400 |
[1] "Mean = 222.8"
[1] "Median = 200"
Many of the statistics we use (e.g., mean) assume the process generating numbers is linear. That is, as you move up on the latent construct, you move in a linear fashion along the measurement. What happens if that’s not the case?
Scores indicate the time of day the subject experienced their peak.
| Subject | Energetic Arousal | Positive Affect | Tense Arousal | Negative Affect |
|---|---|---|---|---|
| 1 | 9 | 14 | 19 | 24 |
| 2 | 11 | 16 | 21 | 2 |
| 3 | 13 | 18 | 23 | 4 |
| 4 | 15 | 20 | 1 | 6 |
| 5 | 17 | 22 | 3 | 8 |
| 6 | 19 | 24 | 5 | 10 |
| Mean | ||||
| Arithmetic | 14 | 19 | 12 | 9 |
| Circular | 14 | 19 | 24 | 5 |
The issues of non-linearity are especially troublesome when there are pre-existing differences between groups. This can lead to interactions at the level of the observations (measures/operationalization) even when there are not interactions at the level of the latent variable.
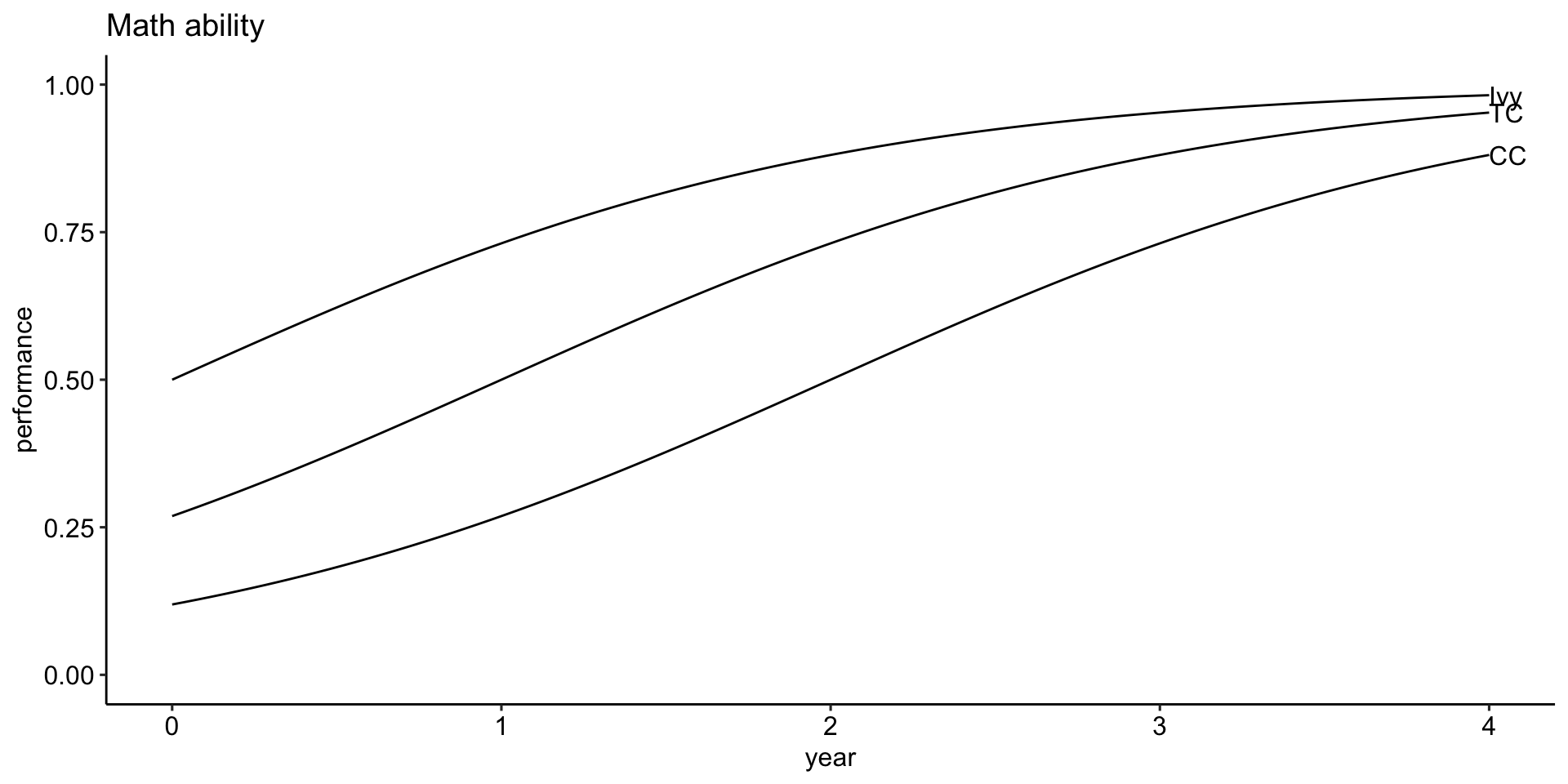
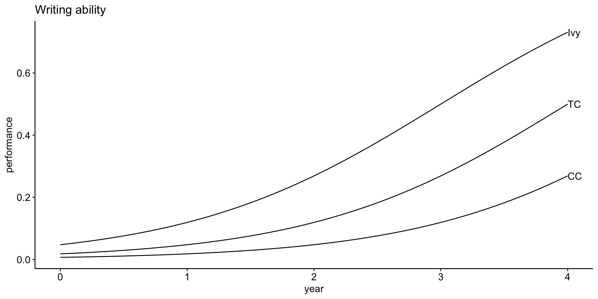
Consider a study of “thematic analysis” across three schools:
(From Winter & McClelland, 1978)
What is your conclusion?
What is your conclusion?


Both panels are generated from the exact same monotonic curve, but with items of different difficulties.
\[prob(correct|\theta,\delta) = \frac{1}{1+e^{\delta-\theta}}\]
Describing data